電気電子工学系比村治彦教授らのグループが有限の圧力を持つ電気的に非中性な 2 流体プラズマの 反差動剛体回転平衡解の導出に世界で初めて成功しました

 本学電気電子工学系 比村治彦教授、大学院生 中島雄太郎(工芸科学研究科前期課程電子システム工学専攻)らの研究グループは、電気的に非中性な二流体プラズマ※1における反差動剛体回転平衡を、非中性プラズマ※2の理論を用いて、二次元平衡解として導出することに世界で初めて成功しました。この平衡状態では、互いに逆方向に剛体回転するイオンプラズマおよび電子プラズマの速度場が、E×Bドリフト速度※3ではなく、主として反磁性ドリフト速度※4によって決まります。この研究は、近年、核融合エネルギー開発用の炉心プラズマなどで適用され始めている二流体プラズマモデルを、電気的に中性ではないプラズマでも論じることができる端緒を与えました。

本件の詳しい内容はこちら(PDF)

この研究成果は学術雑誌『Journal of Plasma Physics』(外部サイト)に2021年8月末に掲載されました。

  • 展示①

    図1 二流体プラズマの差動回転平衡状態の様子

  • 展示②

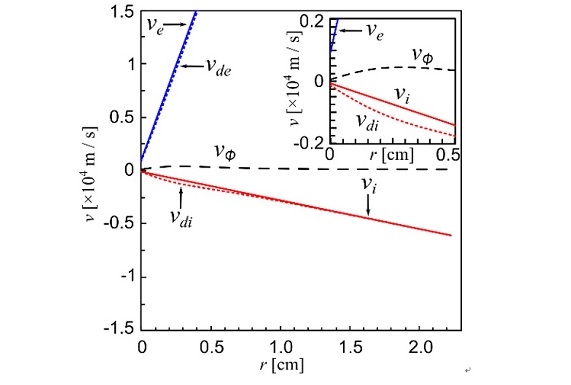
    図2 反差動剛体回転平衡の例

(用語解説)
※1:二流体プラズマ
 プラズマ中のイオン粒子群と電子群が互いに独立な流体として存在し、それぞれの流体方程式にしたがって運動している状態のプラズマを指す。プラズマがこのような二流体状態にあると仮定して作られている流体モデルを二流体プラズマモデルという。

※2:非中性プラズマ
 非中性プラズマとは、単一種の荷電粒子群から構成されたプラズマを指す。粒子種の違いによって、純イオンプラズマや、純電子プラズマと呼ばれている。中性のプラズマと同じように、デバイ長などのプラズマパラメータが定められており、プラズマとみなすための条件も課されている。

※3:E×Bドリフト
 磁場中をラーマ運動している荷電粒子の案内中心が、EとBの外積によって計算されるE×B/B2の速度でドリフト運動する現象。このとき、ドリフトの方向は荷電粒子の電荷の符号によらないという性質がある。また、このドリフトは荷電粒子群によるプラズマでも等しく生じる。

※4:反磁性ドリフト
 荷電粒子が-∇p_σとBの外積によって計算される-∇p×B/B2の速度でドリフト運動する現象。 E×Bドリフトとは異なり、ドリフトの方向は荷電粒子の電荷の符号に依存し、Bを弱める(反磁性)方向へドリフトする。